Retour à Saint-Genis-Laval.

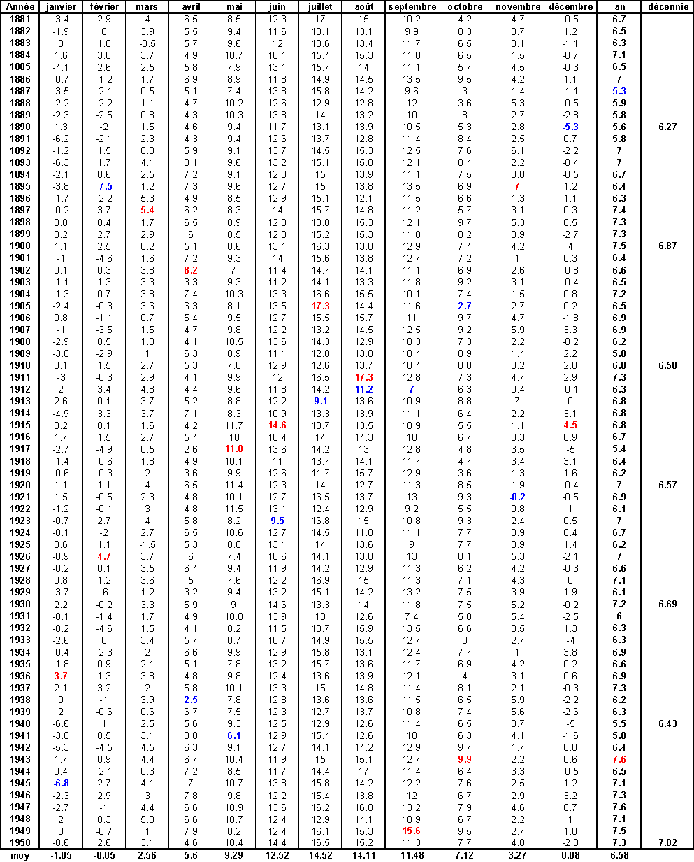
Moyennes mensuelles des températures minimales. En ° Celsius.

Station de Saint-Genis-Laval.